New Articles
-
一个民族生存哲学的苍凉底色 2026/04/07一个民族生存哲学的苍凉底色The Desolate Undercurrent of a National Philosophy of Survival ——《一九四...
-
论“中国模式”的底层逻辑——秦制汉儒精英殖官主... 2026/04/06论“中国模式”的底层逻辑 On the Underlying Logic of the "China Model"——秦制汉儒精英殖官主义的循环与终结 —The Cycl...
-
从制度枷锁、历史诊断,到文明重建 2026/04/05从制度枷锁、历史诊断,到文明重建From Institutional Shackles and Historical Diagnosis to Civilizational Reconstruc...
-
AI狂飚之下,如何避免多元冲突、生态战争? 2026/04/03AI狂飚之下,如何避免多元冲突、生态战争?Under the Surge of AI:How to Avoid Multicultural Conflict and Ecological ...
共生思想理论前沿
THE THEORY
-
-
-
-
关于中文“共生”翻译及对应的人、事、物之说明关于中文“共生”翻译及对应的人、事、物之说明 ——Symbiosism:Charles Thomas Taylor &Qian hong又一次量子缠绕...
查看详细说明
Speech
-
三大自组织货币的共生格局——宏观世界之数字货币 2021/07/08三大自组织货币的共生格局 ——宏观世界之数字货币 钱 宏 The Institute for Global Symbiosism(...
-
新汉字yǜ的释义 2019/11/16语从金音玉(Yǜ):金口玉言,一诺千金,性人诚恳、执信; &n...
-
钱宏:中国的真实经验与未来走向(凤凰博报专... 2019/11/16点击播放 中国的真实经验与未来走向《凤凰博报》专访钱宏主持人:...
从诺奖看人类思维方式的历史跃迁
发布时间:2021/10/07 公司新闻 浏览次数:1200
从诺奖看人类思维方式的历史跃迁
——宏观世界之思维方式
Archer Qian Hong
Symbiosism Culture Think-Tank Foundation(CANADA)

热烈祝贺2021年诺贝尔物理学奖评奖结果出炉:
一半颁给真锅淑郎(Syukuro Manabe)和克劳斯·哈塞尔曼(Klaus Hasselmann)
表彰他们“地球气候的物理建模,量化可变性并可靠地预测全球变暖”。
另一半颁给了乔治·帕里西 (Giorgio Parisi)
表彰他“因为发现了从原子到行星尺度的物理系统中无序和波动的相互作用”。
先说一句话,真鍋 淑郎(Syukuro Manabe)的获奖,让日本“50年30个诺奖”计划已经达到20个。
1、作为华人,当慎言西方东方,拘泥于此,只会自误,阻碍确立“地球为体,共生为用”新三观。
2、系统思维比原子(含线性)思维,是一大进步,但随着所谓“复杂现象”、“无序波动”、“自相互作用”、“自组织机理”、“地球物理”、“随机混乱”、“差异组合”等一系列物理化学生态现象,进入人们的观察和思考,系统思维在信源、加工、信道上的问题,亦暴露出来,“复杂系统”、“超序系统”等相对性、补充性、描述性概念,远不足以承担思维方式属性,而必须提出具有典范转移意义的新共识语境,这就是共生思维。
3、基于活体的存在方式的共生思维,正好对系统思维在信源、加工、信道上不足以应对适应“复杂现象”、“地球物理”、“随机混乱”、“差异组合”物理化学生态平衡需要的缺陷,同时,共生思维揭示了活体具有自组织力与外连接平衡力的本质属性,从而拓展了人类发现发明创新的可能世界!
参见Archer Hong Qian:《SYMBIOSISM*共生》One Book Press CANADA
孞烎2021年10月5日于Vancouver
刚刚,2021诺贝尔物理学奖颁给了研究复杂物理系统的他们
据诺贝尔奖官网消息,2021年诺贝尔物理学奖将一半颁给了
乔治·帕里西(Giorgio Parisi,1948-) 是意大利理论物理学家,现罗马一大物理系教授(University of Roma I ‘‘La Sapienza’’)。他的研究领域主要集中在量子场论、统计力学以及复杂系统。Parisi 获得荣誉无数,包括1999年Dirac奖,2002年费米奖,2005年Heineman数学物理奖和2021年沃尔夫奖等等。
图片来自沃尔夫奖主页[1]
Parisi早年的工作是在QCD和粒子物理场论方面,著名的贡献有部分子密度的QCD演化方程(Altarelli-Parisi方程)。统计力学方面,他得到了自旋玻璃 Sherrington-Kirkpatrick 模型的精确解。他和Kardar,张翼成提出的KPZ(Kardar-Parisi-Zhang)方程,在统计物理、固体物理、偏微分方程等领域均有十分巨大的影响力。
1970年Parisi在 Nicola Cabibbo的指导下从罗马一大毕业。Cabibbo本人是著名的粒子物理学家,弱作用中的混合角就是以他名字命名(Cabibbo角)。随后Pariasi在意大利弗拉斯卡蒂国家实验室(Laboratori Nazionali di Frascati)、美国哥伦比亚大学、法国高等研究院(IHES)、巴黎高师等地工作,1981年到1992年他在罗马二大(University of Rome Tor Vergata)任教授。
简单浏览Parisi的谷歌学术个人主页,能看到他的引用次数已经超过9万。2021年沃尔夫奖的颁奖词[1]写道:
“……他是近几十年来最具创造力和影响力的理论物理学家之一。他的工作对物理学不同分支有极大的影响,包括粒子物理、临界现象、无序系统、以及优化理论和数学物理”
1977年,Parisi 和 Altarelli一起发现了核子中的夸克和胶子分布的演化方程[2](又称DGLAP方程,为独立发现这个方程的三组工作的五个人姓氏首字母)。强相互作用的QCD理论中,部分子(夸克和胶子的统称)的分布函数随能标和参考能标(截断)相关,这个分布函数是描述深度非弹性散射截面的重要因子。Parisi与Altarelli用简洁的微扰场论办法给出了分布函数随能标变化的演化方程,是QCD理论与强子实验中一个极其重要的结果。感兴趣的小伙伴们可以参考[3]。
凝聚态物理中,自旋玻璃是一种有随机性的磁量子态。我们通常所说的磁自旋,一般是三维空间中指向两个磁极的自旋,比如说在铁磁性物质中,磁自旋指向同一个方向;反铁磁性物质中,相邻的自旋会交错朝向相反的方向。相比之下,自旋玻璃是一种 “无序的” 磁量子态,自旋取向随机,没有固定模式,自旋之间的耦合系数也是随机的,“玻璃”一词正刻画了这种无序的性质,因为日常生活中常见的玻璃是就是典型的非晶体,没有晶格结构,各种物理性质都区别于晶体。
上面为自旋玻璃结构示意图,下面为铁磁晶体示意图
图片来自wikipedia词条[6]
自旋玻璃中的原子间耦合(化学键)由大致上相同数目的铁磁键和反铁磁键混合而成,相比指向完全有序的体系,这种几何上的扭曲被称作受阻挫。这种结构带来的结果是,自选玻璃的稳态构型并不是最低能量构型,因此常常被称为“亚稳态”。
1975年David Sherrington 和 Scott Kirkpatrick 提出了一个重要的精确可解的自选玻璃模型,它的形式是类似于伊辛模型(Ising model)的两体耦合,但耦合系数是一个高斯分布,且两体不需要是相邻的,体系中任意两个自旋都相互耦合。随机性和全体-全体相互作用(all-to-all)带来自旋玻璃复杂的结构。
在1979到1984年的一系列工作中,Parisi引入了复本对称破缺(replica symmetry breaking)的概念并将其应用到上述自旋玻璃模型(Sherrington-Kirkpartick模型)中去,给出了平衡态的解。随后的众多作者的一系列工作,包括Mezard,Parisi,Virasoro等等,发现了阻挫自旋玻璃相的非遍历本质等等性质。对这种新物质结构的讨论引发了统计物理中深刻的发展,后续在各种无序体系中有广泛的应用,例如Replica方法在神经网络的研究中的使用。
虽然随机过程的研究已经有很深刻的数学体系,例如对布朗运动的微分方程描述等。但大自然中还有许多概率现象是人们没有理解的,比如我们要说的界面增长:最简单的例子就是,取一张四方的白纸,均匀点燃它朝下的边,然后观察燃烧部分和未燃烧部分的边界自下而上地移动。又比如,一个一维(或者二维)的平台上,自天花板不断均匀掉落一些小颗粒,这些小颗粒在平台上堆积的表面随着时间流逝而增长(像极了一个大型的俄罗斯方块有木有~)。
“俄罗斯方块”给出一维的界面增长。图片来自Corwin的讲座[5].
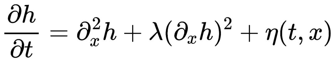
这个界面变化的过程,数学上可以用一个高度函数来描述,这个函数随着时间演化而变化,因此是空间坐标和时间的函数。Kardar,Parisi和张翼成于1986年提出用如下的偏微分方程来描述[9]:
这个过程区别于一般的布朗运动方程的地方在于,它是一个非线性方程,上面公式中的h对x导数的平方项是非线性的。如果我们抛开这个非线性项,剩余的部分里是一个高斯噪声,期望值为0,时间空间的关联函数也为0,我们得到的就是个普通的随机热方程,可以通过傅立叶变化求解。这个非线性项也是KPZ方程核心的项,刻画了高度函数的局部的梯度对边界增长的贡献。换言之,局部看界面会有沿着法向的增长,这个增长投影到高度函数上就会给出一部分贡献。KPZ方程给出了一个特别的普适类(KPZ universality class),涨落的标准差(或简单理解称边界区域的宽度)是按时间的三分之一次方演化的(growth exponent
)。KPZ普适类广泛出现在许多统计模型中,甚至近年来随机量子幺正电路的研究中也会有类似的效应[10]。
也正因为非线性项的存在,数学上高度函数的光滑性变得很糟糕,方程的解的数学定义上就有了问题。这类奇异的偏微分方程仍然在研究中,奥地利籍数学家Martin Haire就因对KPZ方程的突出研究,获得了2014年的菲尔兹奖。这部分的讨论详见[6].
Mehran Kardar, 伊朗裔著名统计物理学家,现麻省理工学院教授(图片来自[11])
张翼成,现瑞士弗里堡大学教授(University of Fribourg),研究包括统计物理、经济学、网络与复杂系统等(图片来自[12])
除了上述最著名的一些统计物理的工作以外,Parisi在场论、计算物理等方面也有重要建树,比如场论中的平面图大N-展开,统计场论,格点QCD等等。他的《统计场论》也是领域里十分具有代表性的著作。Parisi的工作中处处有着统计力学的简洁和近似的思想。
https://www.amazon.com/s?k=Symbiosism+%E5%85%B1%E7%94%9F&i=stripbooks-intl-ship&ref=nb_sb_noss













您好!请登录
已有0评论
购物盒子